Aiphone JP Series Bedienungsanleitung
Andere Aiphone Gegensprechanlage Handbücher

Aiphone
Aiphone SBX-NVP Bedienungsanleitung

Aiphone
Aiphone DB Series Bedienungsanleitung

Aiphone
Aiphone NDR Bedienungsanleitung

Aiphone
Aiphone LAF-3B Bedienungsanleitung

Aiphone
Aiphone LEF-10C Bedienungsanleitung

Aiphone
Aiphone GH Series Bedienungsanleitung

Aiphone
Aiphone DA-1MD Bedienungsanleitung

Aiphone
Aiphone MY-CB Bedienungsanleitung

Aiphone
Aiphone IX-DF-RP10 Bedienungsanleitung

Aiphone
Aiphone WP100A Bedienungsanleitung

Aiphone
Aiphone LEF-10 Bedienungsanleitung

Aiphone
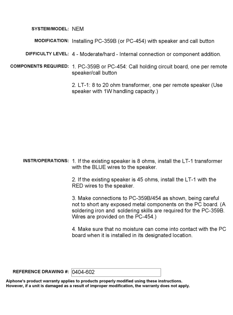
Aiphone PC-359B Bedienungsanleitung

Aiphone
Aiphone IXG Series Bedienungsanleitung

Aiphone
Aiphone MK-DVF-HID Bedienungsanleitung

Aiphone
Aiphone Ja-2hcd Bedienungsanleitung

Aiphone
Aiphone GF-NS Bedienungsanleitung

Aiphone
Aiphone IE-8MD Bedienungsanleitung

Aiphone
Aiphone GF-VBC GF-4Z Bedienungsanleitung

Aiphone
Aiphone LAM-1S Bedienungsanleitung

Aiphone
Aiphone AT-406 Bedienungsanleitung























