
2
Content
1 Caution/warning statements ...................................................................................................... 4
1.1 General safety signs............................................................................................................. 4
1.2 General hazard sources....................................................................................................... 4
1.3 Safety Overview on Battery Management System (BMS)................................................... 5
1.4 Certification......................................................................................................................... 6
2 Contact details............................................................................................................................. 7
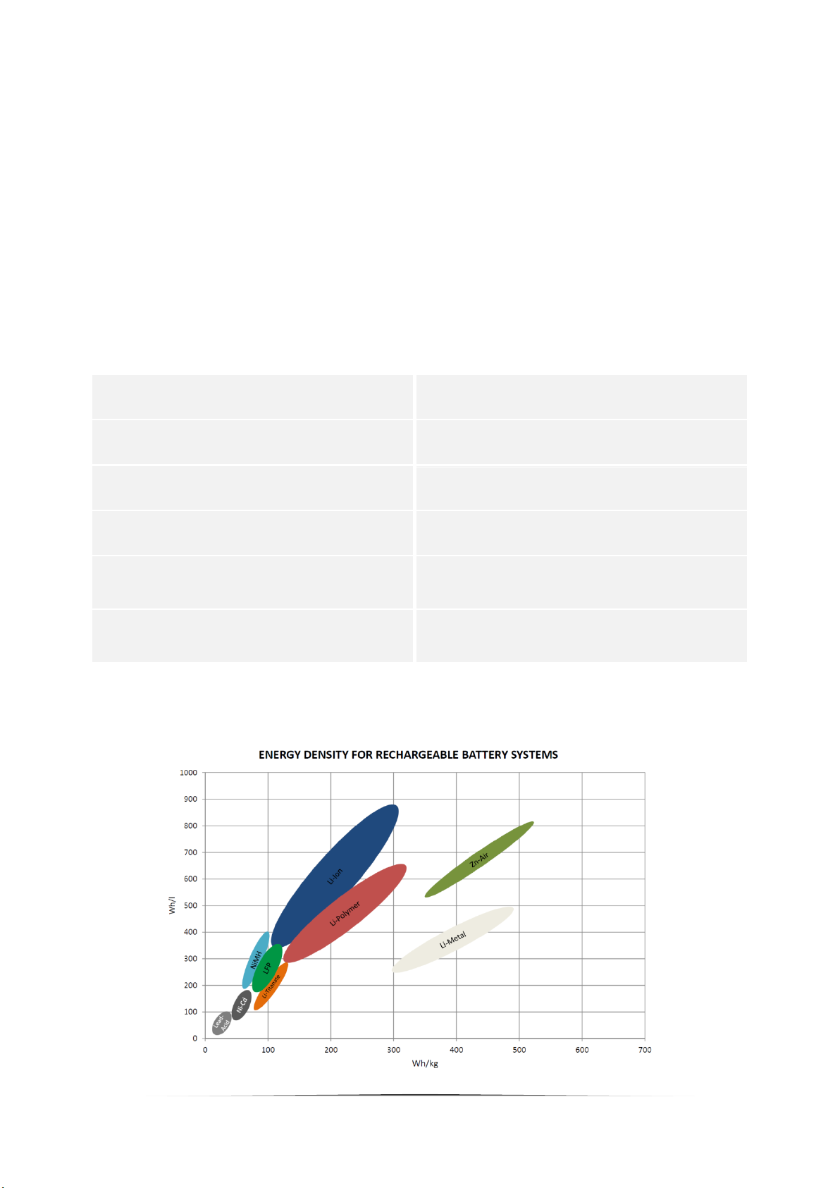
3 Introduction of ASB ..................................................................................................................... 8
3.1 Definitions and Standards ................................................................................................... 9
3.2 General Design and Application Criteria ........................................................................... 10
3.3 Features............................................................................................................................. 10
4 Reference Table: Easy Blade...................................................................................................... 11
5 Reference Table: Easy Block...................................................................................................... 12
6 Description of the battery ......................................................................................................... 13
6.1 Easy Blade.......................................................................................................................... 13
6.2 Easy Block .......................................................................................................................... 14
6.3 Included in the Box............................................................................................................ 14
6.4 Additional systems requirements ..................................................................................... 14
6.5 Push Button ....................................................................................................................... 15
6.6 LED indications .................................................................................................................. 15
7 Setup a system .......................................................................................................................... 16
7.1 Mechanical connection ..................................................................................................... 16
7.2 Electrical connection ......................................................................................................... 17
7.3 Configuration of a system ................................................................................................. 18
7.4 Start the battery/system ................................................................................................... 19
7.5 Shut-down ......................................................................................................................... 20
8 CAN Communication ................................................................................................................. 21
9 Easy Blade - Cooling concept..................................................................................................... 21
10 Charging................................................................................................................................. 21
11 Error....................................................................................................................................... 21
12 The CAN Protocol .................................................................................................................. 22
12.1 Communication within the battery system....................................................................... 22
12.2 Communication sent by the battery master (for application) .......................................... 22
12.3 Communication sent by the battery master (for charger)................................................ 23